Pass in a list of gg or patchwork objects and rotate tick marks on x or y axes.

rot_at(x, at = names(x), re = NULL, axis = c("x", "y"), ...)

Arguments

x

a named list of gg or patchwork objects.

at

a character vector of list names to rotate.

re

a regular expression for selecting names to be used for at.

axis

which axis to rotate.

...

additional arguments passed to rot_x() or rot_y().

Details

Note that all plots in the list need to be named.

See also

Examples

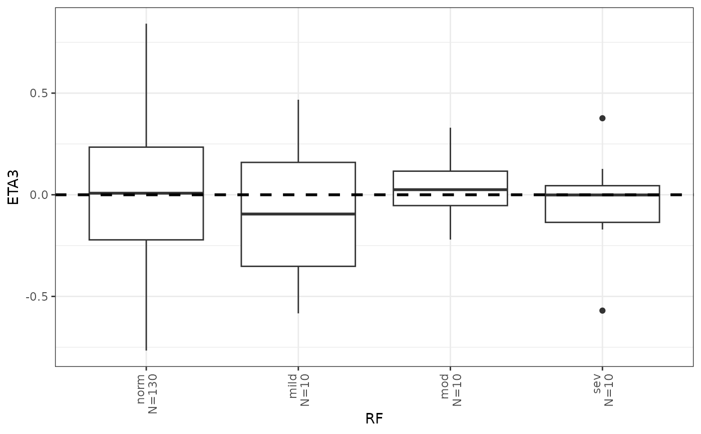
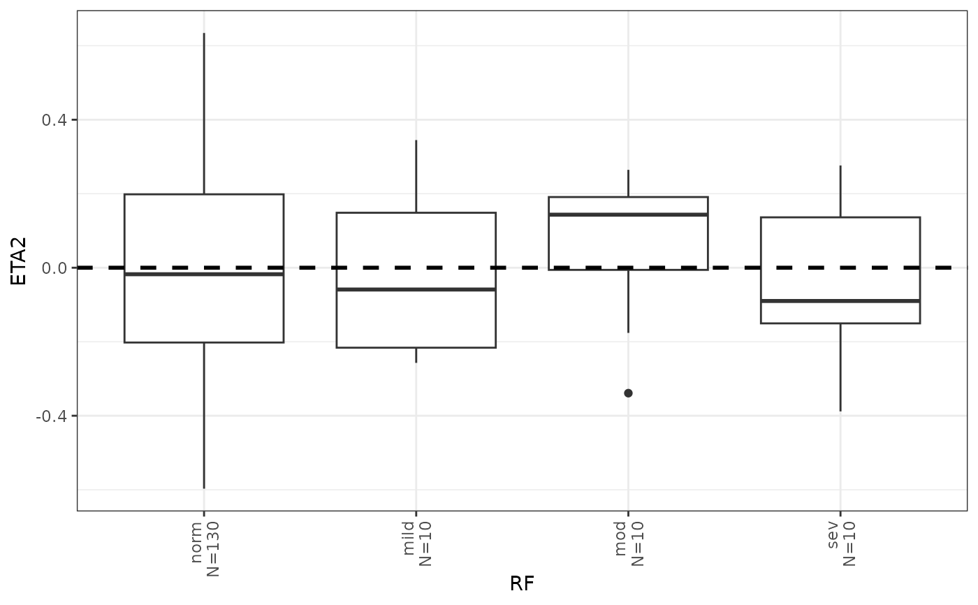
data <- pmplots_data_id()

co <- c("STUDYc", "CPc", "RF")
etas <- paste0("ETA", 1:3)

x <- eta_cat(data, x = co, y = etas)
names(x)
#> [1] "ETA1vSTUDYc" "ETA2vSTUDYc" "ETA3vSTUDYc" "ETA1vCPc"    "ETA2vCPc"   
#> [6] "ETA3vCPc"    "ETA1vRF"     "ETA2vRF"     "ETA3vRF"    

x <- rot_at(x, at = "ETA1vRF", angle = 35)
x$ETA1vRF


x <- rot_at(x, re = "RF", vertical = TRUE)
x$ETA2vRF

x$ETA3vRF