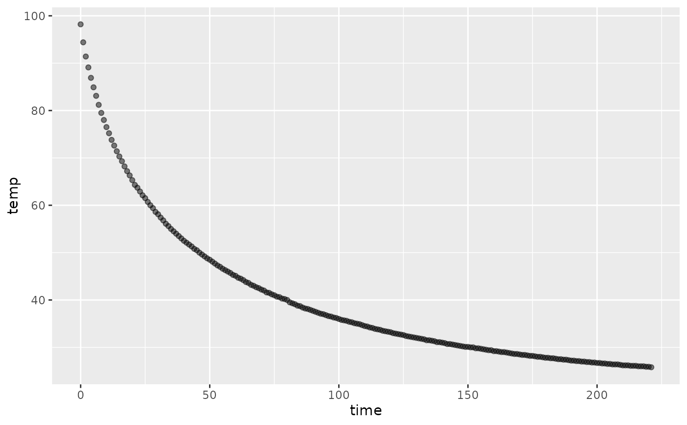
Temperature of a mug of water as it cools

data(CoolingWater)

Format

A data frame with 222 observations of the following variables.

time

time in minutes

temp

temperature in Celsius

Source

These data were collected Stan Wagon to help his mathematical modeling students explore Newton's Law of Cooling and the ways that the law is really only an approximation. More about Stan: http://stanwagon.com.

Details

The water was poured into a mug and a temperature probe inserted into the water with a few seconds of the pour.

Examples

data(CoolingWater)
if (require(ggformula)) {
  gf_point(temp ~ time, data = CoolingWater, alpha = 0.5)
}