Add Confidence limits bar to plot

confband(
  x,
  lower,
  upper,
  center = NULL,
  line = TRUE,
  delta = 0.07,
  centermark = 0.03,
  pch,
  blank = TRUE,
  vert = TRUE,
  polygon = FALSE,
  step = FALSE,
  ...
)

Arguments

x

Position (x-coordinate if vert=TRUE, y-coordinate otherwise)

lower

Lower limit (if NULL no limits is added, and only the center is drawn (if not NULL))

upper

Upper limit

center

Center point

line

If FALSE do not add line between upper and lower bound

delta

Length of limit bars

centermark

Length of center bar

pch

Center symbol (if missing a line is drawn)

blank

If TRUE a white ball is plotted before the center is added to the plot

vert

If TRUE a vertical bar is plotted. Otherwise a horizontal bar is used

polygon

If TRUE polygons are added between 'lower' and 'upper'.

step

Type of polygon (step-function or piecewise linear)

...

Additional low level arguments (e.g. col, lwd, lty,...)

See also

confband

Author

Klaus K. Holst

Examples

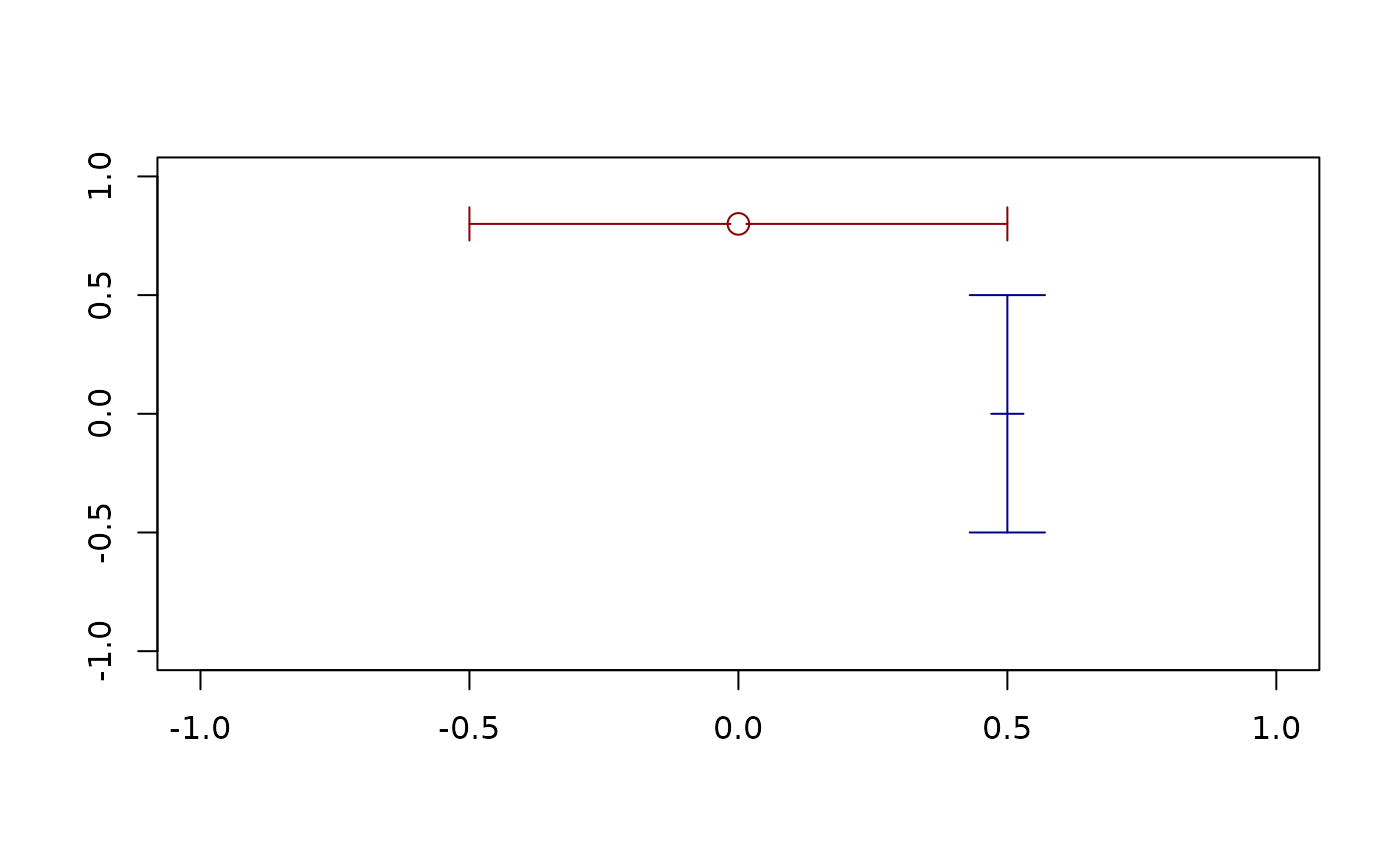
plot(0,0,type="n",xlab="",ylab="")
confband(0.5,-0.5,0.5,0,col="darkblue")
confband(0.8,-0.5,0.5,0,col="darkred",vert=FALSE,pch=1,cex=1.5)


set.seed(1)
K <- 20
est <- rnorm(K)
se <- runif(K,0.2,0.4)
x <- cbind(est,est-2*se,est+2*se,runif(K,0.5,2))
x[c(3:4,10:12),] <- NA
rownames(x) <- unlist(lapply(letters[seq(K)],function(x) paste(rep(x,4),collapse="")))
rownames(x)[which(is.na(est))] <- ""
signif <- sign(x[,2])==sign(x[,3])
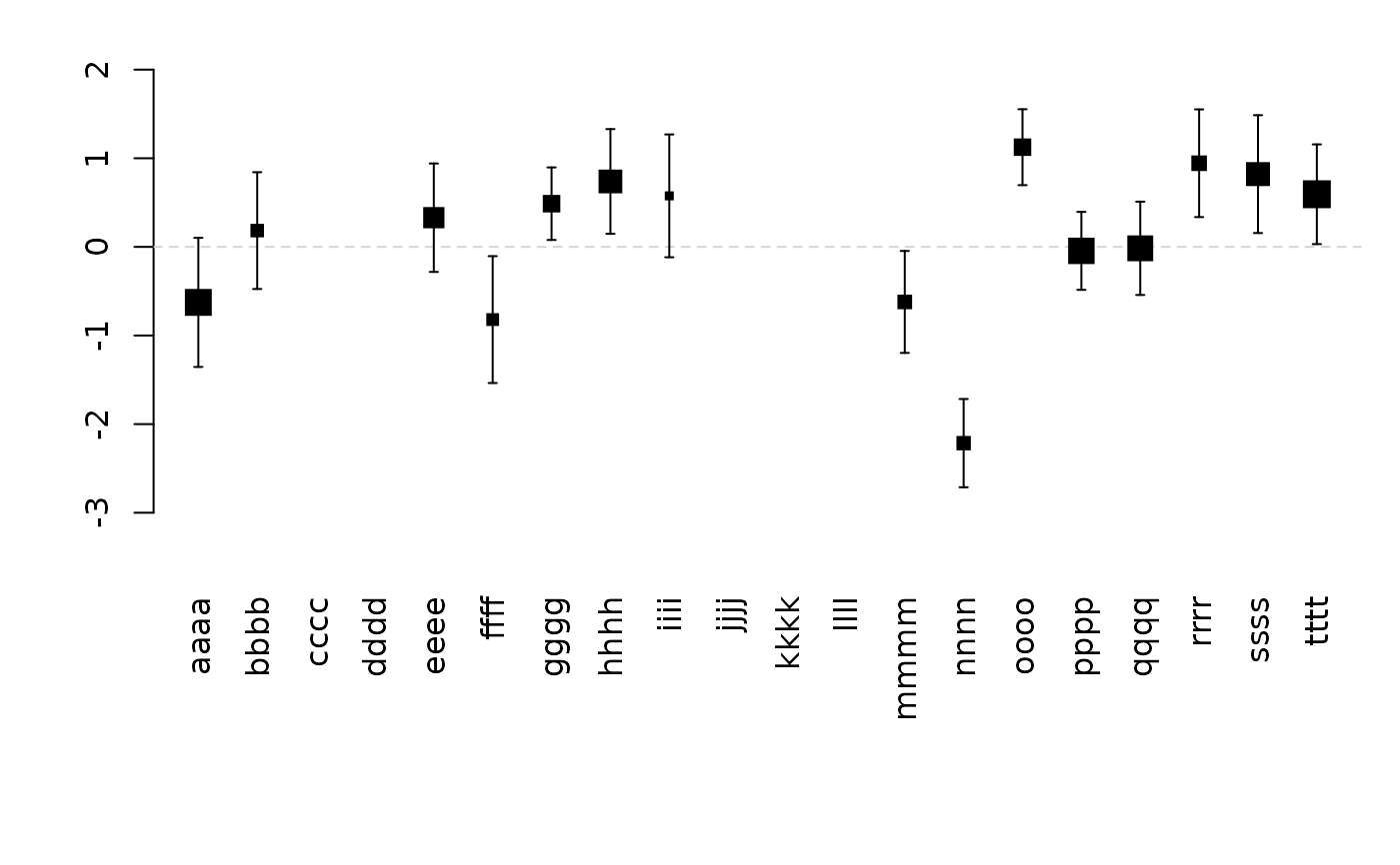
forestplot(x,text.right=FALSE)

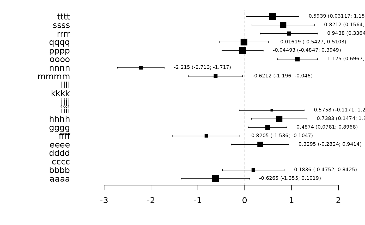
forestplot(x[,-4],sep=c(2,15),col=signif+1,box1=TRUE,delta=0.2,pch=16,cex=1.5)

forestplot(x,vert=TRUE,text=FALSE)

forestplot(x,vert=TRUE,text=FALSE,pch=NA)

##forestplot(x,vert=TRUE,text.vert=FALSE)
##forestplot(val,vert=TRUE,add=TRUE)

z <- seq(10)
zu <- c(z[-1],10)
plot(z,type="n")
confband(z,zu,rep(0,length(z)),col=Col("darkblue"),polygon=TRUE,step=TRUE)
confband(z,zu,zu-2,col=Col("darkred"),polygon=TRUE,step=TRUE)


z <- seq(0,1,length.out=100)
plot(z,z,type="n")
confband(z,z,z^2,polygon="TRUE",col=Col("darkblue"))


set.seed(1)
k <- 10
x <- seq(k)
est <- rnorm(k)
sd <- runif(k)
val <- cbind(x,est,est-sd,est+sd)
par(mfrow=c(1,2))
plot(0,type="n",xlim=c(0,k+1),ylim=range(val[,-1]),axes=FALSE,xlab="",ylab="")
axis(2)
confband(val[,1],val[,3],val[,4],val[,2],pch=16,cex=2)
plot(0,type="n",ylim=c(0,k+1),xlim=range(val[,-1]),axes=FALSE,xlab="",ylab="")
axis(1)
confband(val[,1],val[,3],val[,4],val[,2],pch=16,cex=2,vert=FALSE)


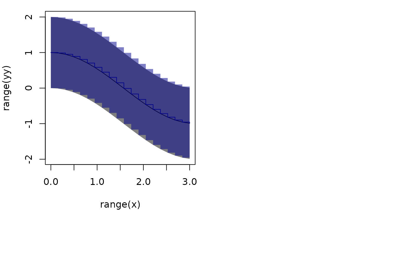
x <- seq(0, 3, length.out=20)
y <- cos(x)
yl <- y - 1
yu <- y + 1
plot_region(x, y, yl, yu)
plot_region(x, y, yl, yu, type='s', col="darkblue", add=TRUE)