This function limits the panels in which a layer is displayed. It can be used to make panel-specific annotations.

at_panel(layer, expr)

Arguments

layer

A layer as returned by layer(). Alternatively, a bare list of layers.

expr

An expression that, when evaluated in the facet's layout data.frame, yields a logical vector parallel to the rows.

Value

A modified layer which will only show in some panels.

Details

The expr argument's expression will be evaluated in the context of the plot's layout. This is an internal data.frame structure that isn't ordinarily exposed to users, so it will require some extra knowledge. For most facets, the layout describes the panels with one panel per row. It typically has COL, ROW and PANEL columns that keep track of where a panel goes in a grid-layout of cells. In addition, the layout contains the facetting variables provided to the facets or rows and cols arguments of the facets. For example, if we have a plot facetted on the var variable with the levels A, B and C, as 1 row and 3 columns, we might target the second B panel iwth any of these expressions: var == "B", PANEL == 2 or COL == 2. We can inspect the layout structure by using ggplot_build(p)$layout$layout, wherein p is a plot.

Examples

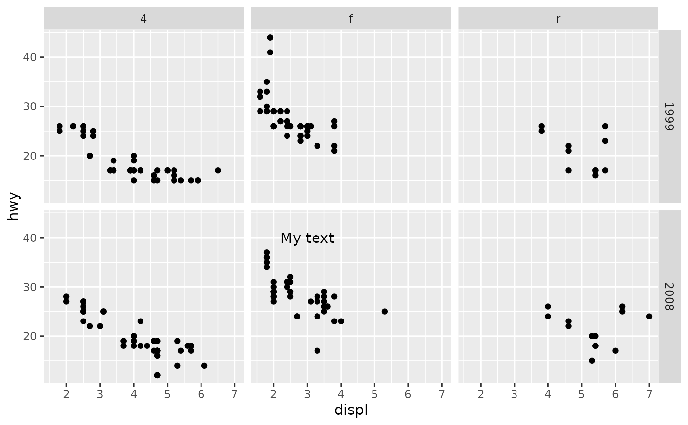
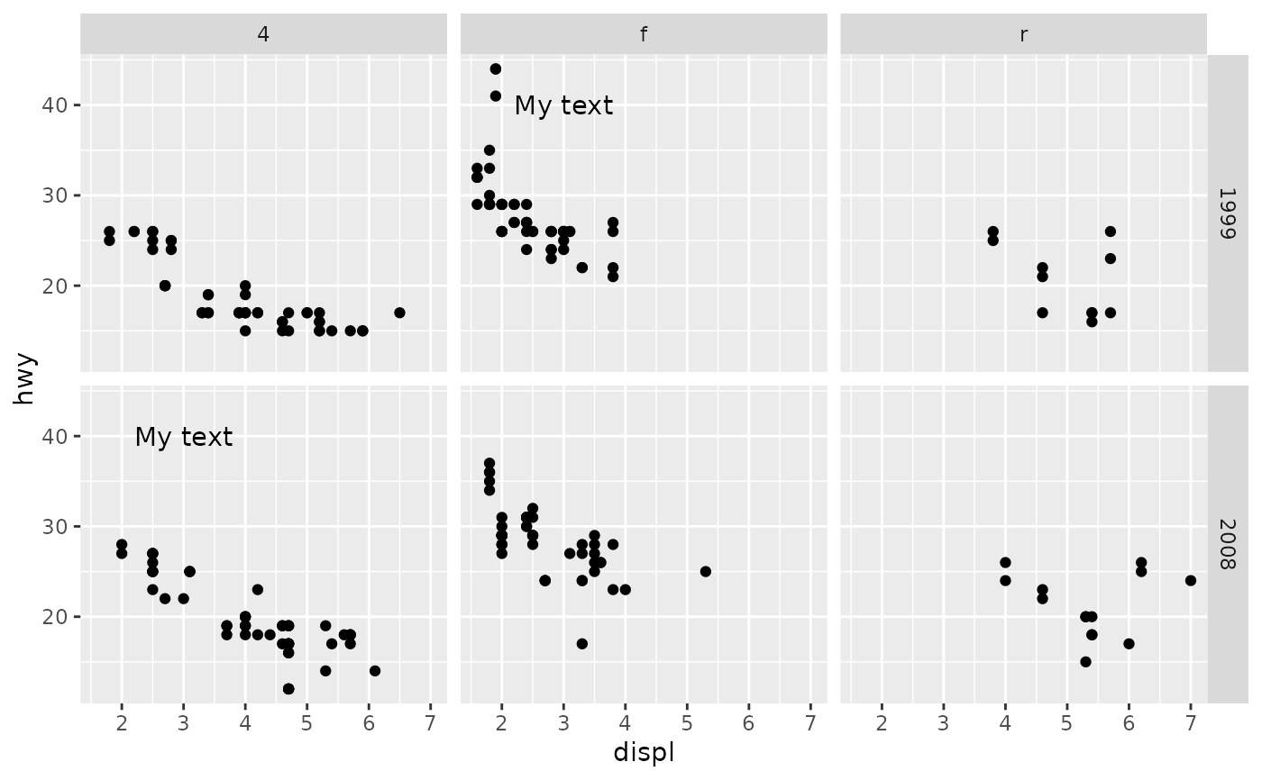
p <- ggplot(mpg, aes(displ, hwy)) +
  geom_point() +
  facet_grid(year ~ drv)

anno <- annotate("text", x = 3, y = 40, label = "My text")

# Target specific panels
p + at_panel(anno, PANEL %in% c(2, 4))


# Target a variable
p + at_panel(anno, drv == "f")


# Or combine variable with position
p + at_panel(anno, drv == "f" & ROW == 2)