This extension to ggplot2::facet_grid() will allow you to split a facetted plot over multiple pages. You define a number of rows and columns per page as well as the page number to plot, and the function will automatically only plot the correct panels. Usually this will be put in a loop to render all pages one by one.

facet_grid_paginate(
  facets,
  margins = FALSE,
  scales = "fixed",
  space = "fixed",
  shrink = TRUE,
  labeller = "label_value",
  as.table = TRUE,
  switch = NULL,
  drop = TRUE,
  ncol = NULL,
  nrow = NULL,
  page = 1,
  byrow = TRUE
)

Arguments

facets

[Deprecated] Please use rows and cols instead.

margins

Either a logical value or a character vector. Margins are additional facets which contain all the data for each of the possible values of the faceting variables. If FALSE, no additional facets are included (the default). If TRUE, margins are included for all faceting variables. If specified as a character vector, it is the names of variables for which margins are to be created.

scales

Are scales shared across all facets (the default, "fixed"), or do they vary across rows ("free_x"), columns ("free_y"), or both rows and columns ("free")?

space

If "fixed", the default, all panels have the same size. If "free_y" their height will be proportional to the length of the y scale; if "free_x" their width will be proportional to the length of the x scale; or if "free" both height and width will vary. This setting has no effect unless the appropriate scales also vary.

shrink

If TRUE, will shrink scales to fit output of statistics, not raw data. If FALSE, will be range of raw data before statistical summary.

labeller

A function that takes one data frame of labels and returns a list or data frame of character vectors. Each input column corresponds to one factor. Thus there will be more than one with vars(cyl, am). Each output column gets displayed as one separate line in the strip label. This function should inherit from the "labeller" S3 class for compatibility with labeller(). You can use different labeling functions for different kind of labels, for example use label_parsed() for formatting facet labels. label_value() is used by default, check it for more details and pointers to other options.

as.table

If TRUE, the default, the facets are laid out like a table with highest values at the bottom-right. If FALSE, the facets are laid out like a plot with the highest value at the top-right.

switch

By default, the labels are displayed on the top and right of the plot. If "x", the top labels will be displayed to the bottom. If "y", the right-hand side labels will be displayed to the left. Can also be set to "both".

drop

If TRUE, the default, all factor levels not used in the data will automatically be dropped. If FALSE, all factor levels will be shown, regardless of whether or not they appear in the data.

ncol

Number of columns per page

nrow

Number of rows per page

page

The page to draw

byrow

Should the pages be created row-wise or column wise

Note

If either ncol or nrow is NULL this function will fall back to the standard facet_grid functionality.

See also

n_pages() to compute the total number of pages in a paginated faceted plot

Other ggforce facets: facet_stereo(), facet_wrap_paginate(), facet_zoom()

Examples

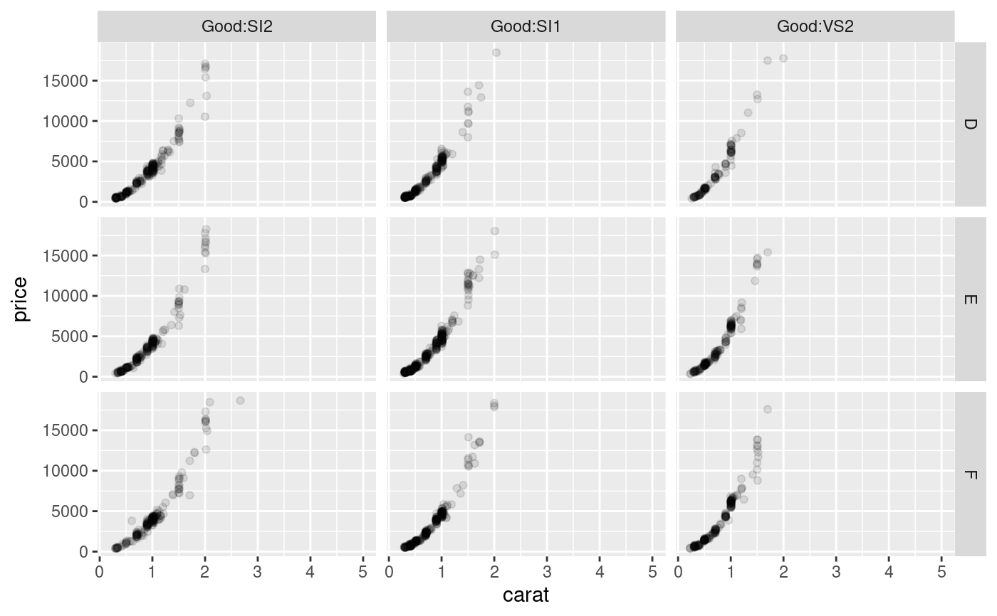
# Draw a small section of the grid
ggplot(diamonds) +
  geom_point(aes(carat, price), alpha = 0.1) +
  facet_grid_paginate(color ~ cut:clarity, ncol = 3, nrow = 3, page = 4)