Skip to contents

Generates a probability plot for a specified theoretical distribution, i.e., basically a qqplot where the y-axis is labeled with probabilities instead of quantiles. The function is mainly intended for teaching the concept of quantile plots.

Usage

probplot(x, qdist=qnorm, probs=NULL, line=TRUE,
         xlab=NULL, ylab="Probability in %", ...)
# S3 method for class 'probplot'
lines(x, h=NULL, v=NULL, bend=FALSE, ...)

Arguments

x

A data vector for probplot, an object of class probplot for the lines method.

qdist

A character string or a function for the quantiles of the target distribution.

probs

Vector of probabilities at which horizontal lines should be drawn.

line

Add a line passing through the quartiles to the plot?

xlab, ylab

Graphical parameters.

h

The y-value for a horizontal line.

v

The x-value for a vertical line.

bend

If TRUE, lines are “bent” at the quartile line, else regular ablines are added. See examples.

...

Further arguments for qdist and graphical parameters for lines.

Author

Friedrich Leisch

See also

Examples

## a simple example
x <- rnorm(100, mean=5)
probplot(x)


## the same with horizontal tickmarks at the y-axis
opar <- par("las")
par(las=1)
probplot(x)

## this should show the lack of fit at the tails
probplot(x, "qunif")


## for increasing degrees of freedom the t-distribution converges to
## normal
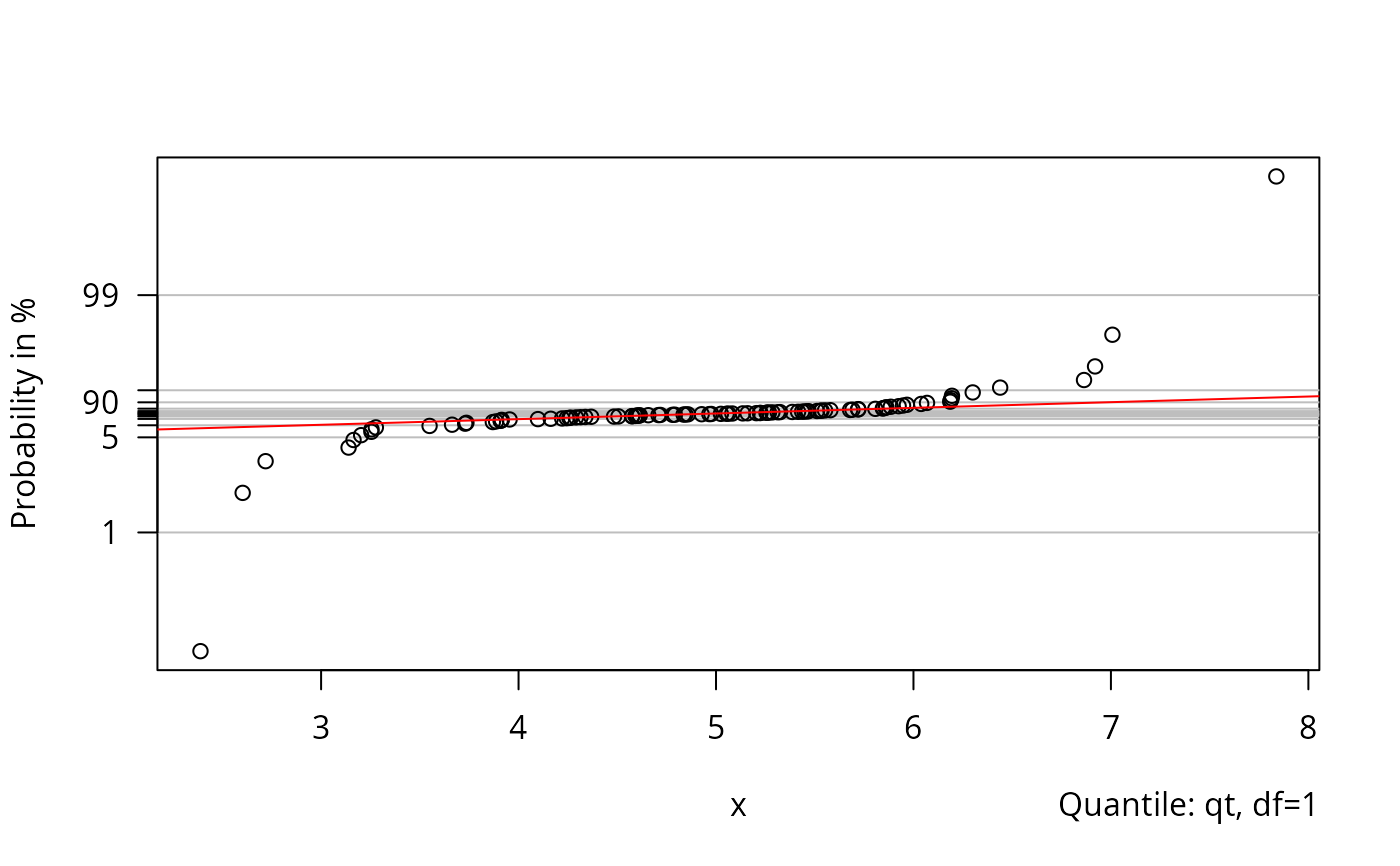
probplot(x, qt, df=1)

probplot(x, qt, df=3)

probplot(x, qt, df=10)

probplot(x, qt, df=100)


## manually add the line through the quartiles
p <- probplot(x, line=FALSE)
lines(p, col="green", lty=2, lwd=2)


## Make the line at prob=0.5 red
lines(p, h=0.5, col="red")

### The following use the estimted distribution given by the green
### line:

## What is the probability that x is smaller than 7?
lines(p, v=7, bend=TRUE, col="blue")

## Median and 90% confidence interval
lines(p, h=.5, col="red", lwd=3, bend=TRUE)
lines(p, h=c(.05, .95), col="red", lwd=2, lty=3, bend=TRUE)


par(opar)
#> Warning: argument 1 does not name a graphical parameter
#> NULL