Glance accepts a model object and returns a tibble::tibble() with exactly one row of model summaries. The summaries are typically goodness of fit measures, p-values for hypothesis tests on residuals, or model convergence information.

Glance never returns information from the original call to the modeling function. This includes the name of the modeling function or any arguments passed to the modeling function.

Glance does not calculate summary measures. Rather, it farms out these computations to appropriate methods and gathers the results together. Sometimes a goodness of fit measure will be undefined. In these cases the measure will be reported as NA.

Glance returns the same number of columns regardless of whether the model matrix is rank-deficient or not. If so, entries in columns that no longer have a well-defined value are filled in with an NA of the appropriate type.

# S3 method for class 'survreg'
glance(x, ...)

Arguments

x

An survreg object returned from survival::survreg().

...

Additional arguments. Not used. Needed to match generic signature only. Cautionary note: Misspelled arguments will be absorbed in ..., where they will be ignored. If the misspelled argument has a default value, the default value will be used. For example, if you pass conf.lvel = 0.9, all computation will proceed using conf.level = 0.95. Two exceptions here are:

  • tidy() methods will warn when supplied an exponentiate argument if it will be ignored.

  • augment() methods will warn when supplied a newdata argument if it will be ignored.

Value

A tibble::tibble() with exactly one row and columns:

AIC

Akaike's Information Criterion for the model.

BIC

Bayesian Information Criterion for the model.

df

Degrees of freedom used by the model.

df.residual

Residual degrees of freedom.

iter

Iterations of algorithm/fitting procedure completed.

logLik

The log-likelihood of the model. [stats::logLik()] may be a useful reference.

nobs

Number of observations used.

p.value

P-value corresponding to the test statistic.

statistic

Chi-squared statistic.

Examples


# load libraries for models and data
library(survival)

# fit model
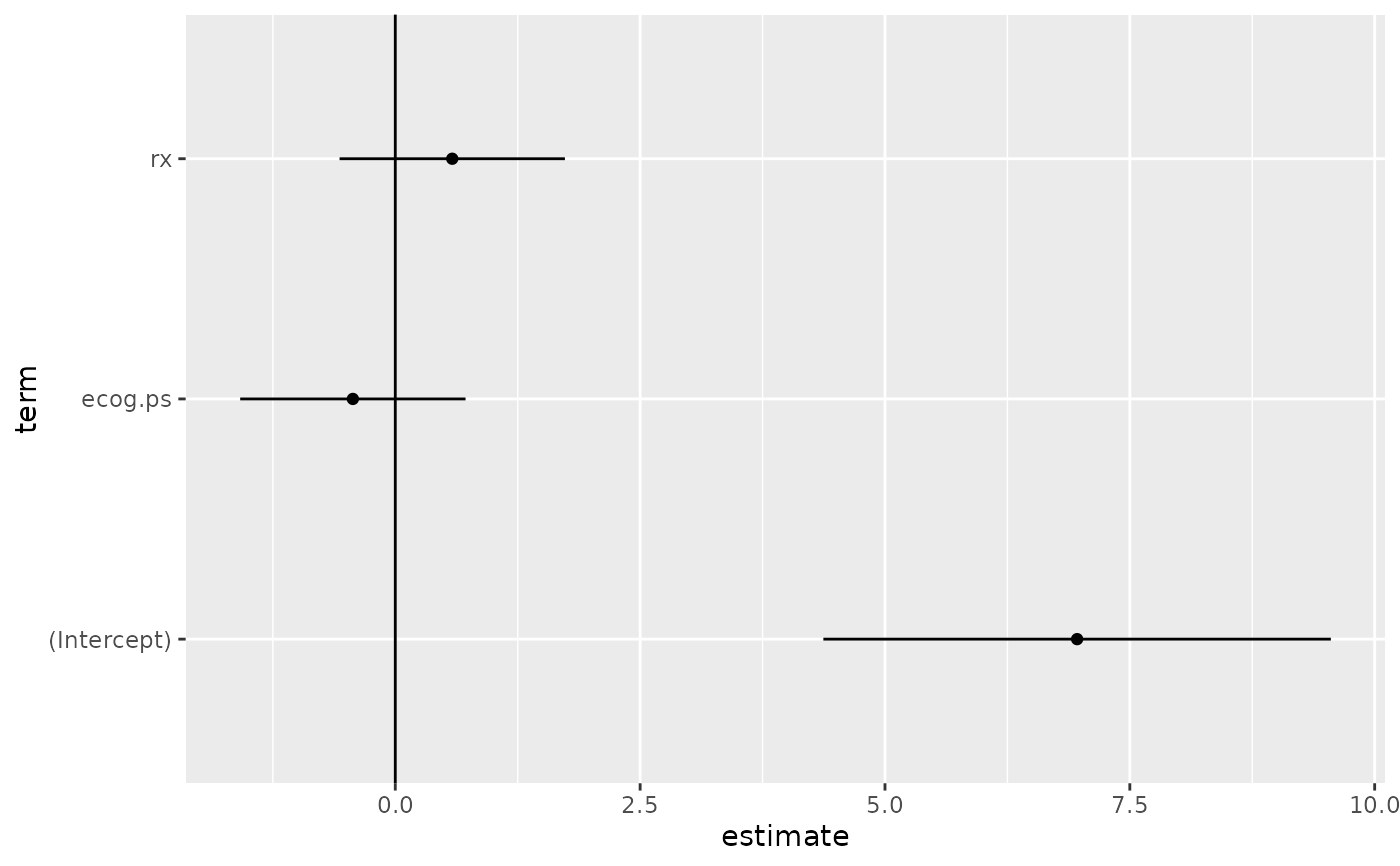
sr <- survreg(
  Surv(futime, fustat) ~ ecog.ps + rx,
  ovarian,
  dist = "exponential"
)

# summarize model fit with tidiers + visualization
tidy(sr)
#> # A tibble: 3 × 5
#>   term        estimate std.error statistic     p.value
#>   <chr>          <dbl>     <dbl>     <dbl>       <dbl>
#> 1 (Intercept)    6.96      1.32      5.27  0.000000139
#> 2 ecog.ps       -0.433     0.587    -0.738 0.461      
#> 3 rx             0.582     0.587     0.991 0.322      
augment(sr, ovarian)
#> # A tibble: 26 × 9
#>    futime fustat   age resid.ds    rx ecog.ps .fitted .se.fit .resid
#>     <dbl>  <dbl> <dbl>    <dbl> <dbl>   <dbl>   <dbl>   <dbl>  <dbl>
#>  1     59      1  72.3        2     1       1   1224.    639. -1165.
#>  2    115      1  74.5        2     1       1   1224.    639. -1109.
#>  3    156      1  66.5        2     1       2    794.    350.  -638.
#>  4    421      0  53.4        2     2       1   2190.   1202. -1769.
#>  5    431      1  50.3        2     1       1   1224.    639.  -793.
#>  6    448      0  56.4        1     1       2    794.    350.  -346.
#>  7    464      1  56.9        2     2       2   1420.    741.  -956.
#>  8    475      1  59.9        2     2       2   1420.    741.  -945.
#>  9    477      0  64.2        2     1       1   1224.    639.  -747.
#> 10    563      1  55.2        1     2       2   1420.    741.  -857.
#> # ℹ 16 more rows
glance(sr)
#> # A tibble: 1 × 9
#>    iter    df statistic logLik   AIC   BIC df.residual  nobs p.value
#>   <int> <int>     <dbl>  <dbl> <dbl> <dbl>       <int> <int>   <dbl>
#> 1     4     3      1.67  -97.2  200.  204.          23    26   0.434

# coefficient plot
td <- tidy(sr, conf.int = TRUE)

library(ggplot2)

ggplot(td, aes(estimate, term)) +
  geom_point() +
  geom_errorbarh(aes(xmin = conf.low, xmax = conf.high), height = 0) +
  geom_vline(xintercept = 0)