Tidy summarizes information about the components of a model. A model component might be a single term in a regression, a single hypothesis, a cluster, or a class. Exactly what tidy considers to be a model component varies across models but is usually self-evident. If a model has several distinct types of components, you will need to specify which components to return.

# S3 method for class 'gmm'
tidy(x, conf.int = FALSE, conf.level = 0.95, exponentiate = FALSE, ...)

Arguments

x

A gmm object returned from gmm::gmm().

conf.int

Logical indicating whether or not to include a confidence interval in the tidied output. Defaults to FALSE.

conf.level

The confidence level to use for the confidence interval if conf.int = TRUE. Must be strictly greater than 0 and less than 1. Defaults to 0.95, which corresponds to a 95 percent confidence interval.

exponentiate

Logical indicating whether or not to exponentiate the the coefficient estimates. This is typical for logistic and multinomial regressions, but a bad idea if there is no log or logit link. Defaults to FALSE.

...

Additional arguments. Not used. Needed to match generic signature only. Cautionary note: Misspelled arguments will be absorbed in ..., where they will be ignored. If the misspelled argument has a default value, the default value will be used. For example, if you pass conf.lvel = 0.9, all computation will proceed using conf.level = 0.95. Two exceptions here are:

  • tidy() methods will warn when supplied an exponentiate argument if it will be ignored.

  • augment() methods will warn when supplied a newdata argument if it will be ignored.

See also

tidy(), gmm::gmm()

Other gmm tidiers: glance.gmm()

Value

A tibble::tibble() with columns:

conf.high

Upper bound on the confidence interval for the estimate.

conf.low

Lower bound on the confidence interval for the estimate.

estimate

The estimated value of the regression term.

p.value

The two-sided p-value associated with the observed statistic.

statistic

The value of a T-statistic to use in a hypothesis that the regression term is non-zero.

std.error

The standard error of the regression term.

term

The name of the regression term.

Examples


# load libraries for models and data
library(gmm)

# examples come from the "gmm" package
# CAPM test with GMM
data(Finance)
r <- Finance[1:300, 1:10]
rm <- Finance[1:300, "rm"]
rf <- Finance[1:300, "rf"]

z <- as.matrix(r - rf)
t <- nrow(z)
zm <- rm - rf
h <- matrix(zm, t, 1)
res <- gmm(z ~ zm, x = h)

# tidy result
tidy(res)
#> # A tibble: 20 × 5
#>    term             estimate std.error statistic  p.value
#>    <chr>               <dbl>     <dbl>     <dbl>    <dbl>
#>  1 WMK_(Intercept)  -0.00471    0.141    -0.0333 9.73e- 1
#>  2 UIS_(Intercept)   0.102      0.146     0.700  4.84e- 1
#>  3 ORB_(Intercept)   0.146      0.207     0.706  4.80e- 1
#>  4 MAT_(Intercept)   0.0359     0.138     0.260  7.95e- 1
#>  5 ABAX_(Intercept)  0.0917     0.282     0.325  7.45e- 1
#>  6 T_(Intercept)     0.0231     0.0770    0.300  7.64e- 1
#>  7 EMR_(Intercept)   0.0299     0.0559    0.535  5.93e- 1
#>  8 JCS_(Intercept)   0.117      0.152     0.766  4.44e- 1
#>  9 VOXX_(Intercept)  0.0209     0.206     0.101  9.19e- 1
#> 10 ZOOM_(Intercept) -0.219      0.208    -1.05   2.92e- 1
#> 11 WMK_zm            0.320      0.120     2.66   7.84e- 3
#> 12 UIS_zm            1.26       0.231     5.46   4.72e- 8
#> 13 ORB_zm            1.49       0.517     2.88   3.97e- 3
#> 14 MAT_zm            1.01       0.215     4.71   2.51e- 6
#> 15 ABAX_zm           1.09       0.580     1.88   6.03e- 2
#> 16 T_zm              0.849      0.196     4.34   1.45e- 5
#> 17 EMR_zm            0.745      0.105     7.07   1.53e-12
#> 18 JCS_zm            0.959      0.358     2.68   7.40e- 3
#> 19 VOXX_zm           1.48       0.378     3.92   8.73e- 5
#> 20 ZOOM_zm           2.08       0.307     6.76   1.35e-11
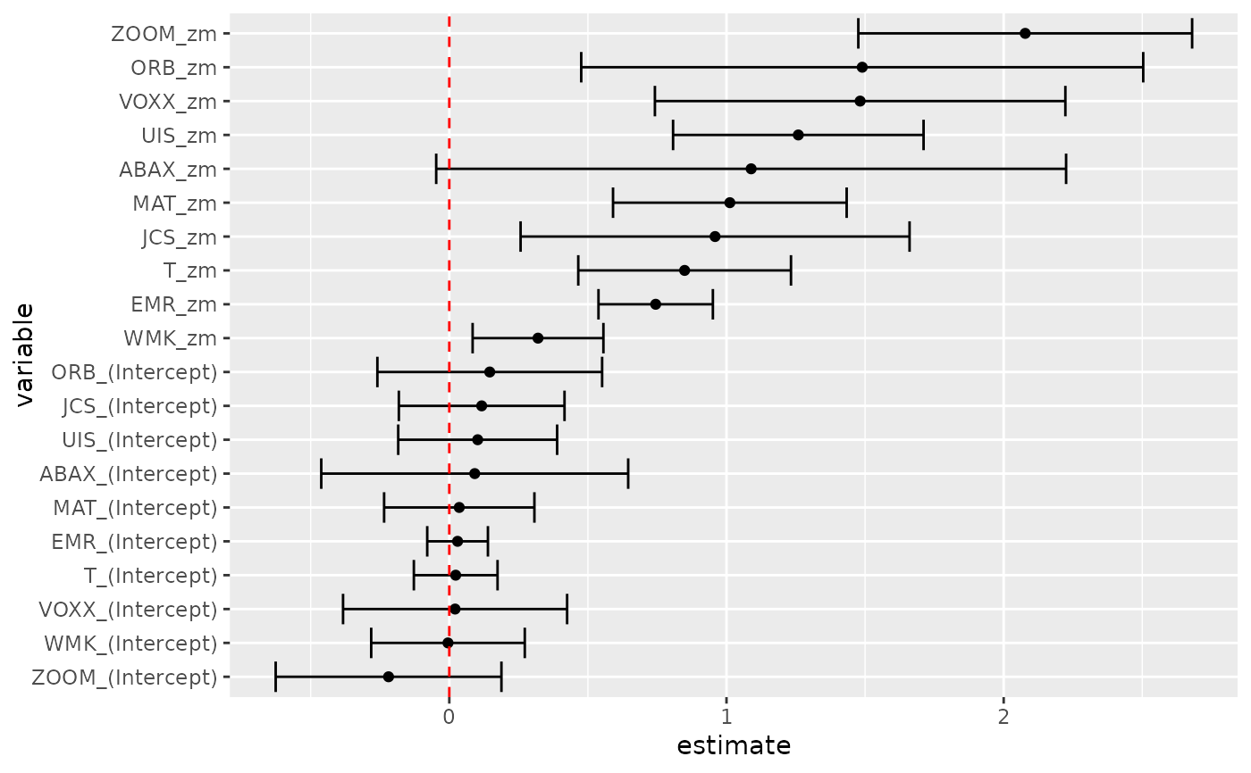
tidy(res, conf.int = TRUE)
#> # A tibble: 20 × 7
#>    term             estimate std.error statistic  p.value conf.low conf.high
#>    <chr>               <dbl>     <dbl>     <dbl>    <dbl>    <dbl>     <dbl>
#>  1 WMK_(Intercept)  -0.00471    0.141    -0.0333 9.73e- 1  -0.282      0.272
#>  2 UIS_(Intercept)   0.102      0.146     0.700  4.84e- 1  -0.184      0.389
#>  3 ORB_(Intercept)   0.146      0.207     0.706  4.80e- 1  -0.259      0.551
#>  4 MAT_(Intercept)   0.0359     0.138     0.260  7.95e- 1  -0.235      0.307
#>  5 ABAX_(Intercept)  0.0917     0.282     0.325  7.45e- 1  -0.462      0.645
#>  6 T_(Intercept)     0.0231     0.0770    0.300  7.64e- 1  -0.128      0.174
#>  7 EMR_(Intercept)   0.0299     0.0559    0.535  5.93e- 1  -0.0796     0.139
#>  8 JCS_(Intercept)   0.117      0.152     0.766  4.44e- 1  -0.182      0.416
#>  9 VOXX_(Intercept)  0.0209     0.206     0.101  9.19e- 1  -0.383      0.425
#> 10 ZOOM_(Intercept) -0.219      0.208    -1.05   2.92e- 1  -0.626      0.188
#> 11 WMK_zm            0.320      0.120     2.66   7.84e- 3   0.0841     0.556
#> 12 UIS_zm            1.26       0.231     5.46   4.72e- 8   0.807      1.71 
#> 13 ORB_zm            1.49       0.517     2.88   3.97e- 3   0.476      2.50 
#> 14 MAT_zm            1.01       0.215     4.71   2.51e- 6   0.591      1.43 
#> 15 ABAX_zm           1.09       0.580     1.88   6.03e- 2  -0.0472     2.23 
#> 16 T_zm              0.849      0.196     4.34   1.45e- 5   0.465      1.23 
#> 17 EMR_zm            0.745      0.105     7.07   1.53e-12   0.538      0.951
#> 18 JCS_zm            0.959      0.358     2.68   7.40e- 3   0.257      1.66 
#> 19 VOXX_zm           1.48       0.378     3.92   8.73e- 5   0.742      2.22 
#> 20 ZOOM_zm           2.08       0.307     6.76   1.35e-11   1.48       2.68 
tidy(res, conf.int = TRUE, conf.level = .99)
#> # A tibble: 20 × 7
#>    term             estimate std.error statistic  p.value conf.low conf.high
#>    <chr>               <dbl>     <dbl>     <dbl>    <dbl>    <dbl>     <dbl>
#>  1 WMK_(Intercept)  -0.00471    0.141    -0.0333 9.73e- 1  -0.369      0.359
#>  2 UIS_(Intercept)   0.102      0.146     0.700  4.84e- 1  -0.274      0.479
#>  3 ORB_(Intercept)   0.146      0.207     0.706  4.80e- 1  -0.387      0.679
#>  4 MAT_(Intercept)   0.0359     0.138     0.260  7.95e- 1  -0.320      0.392
#>  5 ABAX_(Intercept)  0.0917     0.282     0.325  7.45e- 1  -0.636      0.819
#>  6 T_(Intercept)     0.0231     0.0770    0.300  7.64e- 1  -0.175      0.222
#>  7 EMR_(Intercept)   0.0299     0.0559    0.535  5.93e- 1  -0.114      0.174
#>  8 JCS_(Intercept)   0.117      0.152     0.766  4.44e- 1  -0.276      0.510
#>  9 VOXX_(Intercept)  0.0209     0.206     0.101  9.19e- 1  -0.510      0.552
#> 10 ZOOM_(Intercept) -0.219      0.208    -1.05   2.92e- 1  -0.754      0.316
#> 11 WMK_zm            0.320      0.120     2.66   7.84e- 3   0.0100     0.630
#> 12 UIS_zm            1.26       0.231     5.46   4.72e- 8   0.665      1.85 
#> 13 ORB_zm            1.49       0.517     2.88   3.97e- 3   0.157      2.82 
#> 14 MAT_zm            1.01       0.215     4.71   2.51e- 6   0.458      1.57 
#> 15 ABAX_zm           1.09       0.580     1.88   6.03e- 2  -0.404      2.58 
#> 16 T_zm              0.849      0.196     4.34   1.45e- 5   0.345      1.35 
#> 17 EMR_zm            0.745      0.105     7.07   1.53e-12   0.473      1.02 
#> 18 JCS_zm            0.959      0.358     2.68   7.40e- 3   0.0367     1.88 
#> 19 VOXX_zm           1.48       0.378     3.92   8.73e- 5   0.509      2.46 
#> 20 ZOOM_zm           2.08       0.307     6.76   1.35e-11   1.29       2.87 

# coefficient plot
library(ggplot2)
library(dplyr)

tidy(res, conf.int = TRUE) %>%
  mutate(variable = reorder(term, estimate)) %>%
  ggplot(aes(estimate, variable)) +
  geom_point() +
  geom_errorbarh(aes(xmin = conf.low, xmax = conf.high)) +
  geom_vline(xintercept = 0, color = "red", lty = 2)


# from a function instead of a matrix
g <- function(theta, x) {
  e <- x[, 2:11] - theta[1] - (x[, 1] - theta[1]) %*% matrix(theta[2:11], 1, 10)
  gmat <- cbind(e, e * c(x[, 1]))
  return(gmat)
}

x <- as.matrix(cbind(rm, r))
res_black <- gmm(g, x = x, t0 = rep(0, 11))
#> Warning: model order:  1 singularities in the computation of the projection matrix results are only valid up to model order 0
#> Error in AA %*% t(X) : requires numeric/complex matrix/vector arguments
#> Error in AllArg$bw(obj, order.by = AllArg$order.by, kernel = AllArg$kernel,     prewhite = AllArg$prewhite, ar.method = AllArg$ar.method,     approx = AllArg$approx): VAR(1) prewhitening of estimating functions failed

tidy(res_black)
#> Error: object 'res_black' not found
tidy(res_black, conf.int = TRUE)
#> Error: object 'res_black' not found

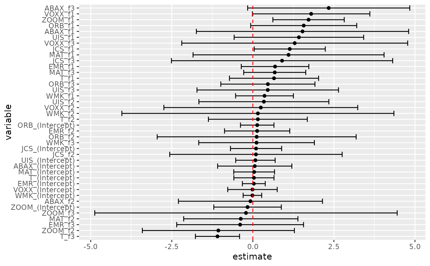
# APT test with Fama-French factors and GMM

f1 <- zm
f2 <- Finance[1:300, "hml"] - rf
f3 <- Finance[1:300, "smb"] - rf
h <- cbind(f1, f2, f3)
res2 <- gmm(z ~ f1 + f2 + f3, x = h)

td2 <- tidy(res2, conf.int = TRUE)
td2
#> # A tibble: 40 × 7
#>    term             estimate std.error statistic p.value conf.low conf.high
#>    <chr>               <dbl>     <dbl>     <dbl>   <dbl>    <dbl>     <dbl>
#>  1 WMK_(Intercept)   -0.0127     0.146   -0.0873   0.930   -0.299     0.273
#>  2 UIS_(Intercept)    0.0799     0.311    0.257    0.797   -0.529     0.689
#>  3 ORB_(Intercept)    0.135      0.263    0.514    0.608   -0.381     0.652
#>  4 MAT_(Intercept)    0.0405     0.321    0.126    0.900   -0.589     0.670
#>  5 ABAX_(Intercept)   0.0589     0.584    0.101    0.920   -1.09      1.20 
#>  6 T_(Intercept)      0.0337     0.316    0.107    0.915   -0.586     0.653
#>  7 EMR_(Intercept)    0.0304     0.180    0.169    0.866   -0.323     0.383
#>  8 JCS_(Intercept)    0.0994     0.403    0.247    0.805   -0.690     0.889
#>  9 VOXX_(Intercept)  -0.0108     0.389   -0.0279   0.978   -0.774     0.752
#> 10 ZOOM_(Intercept)  -0.163      0.531   -0.306    0.759   -1.20      0.878
#> # ℹ 30 more rows

# coefficient plot
td2 %>%
  mutate(variable = reorder(term, estimate)) %>%
  ggplot(aes(estimate, variable)) +
  geom_point() +
  geom_errorbarh(aes(xmin = conf.low, xmax = conf.high)) +
  geom_vline(xintercept = 0, color = "red", lty = 2)