Glance accepts a model object and returns a tibble::tibble() with exactly one row of model summaries. The summaries are typically goodness of fit measures, p-values for hypothesis tests on residuals, or model convergence information.

Glance never returns information from the original call to the modeling function. This includes the name of the modeling function or any arguments passed to the modeling function.

Glance does not calculate summary measures. Rather, it farms out these computations to appropriate methods and gathers the results together. Sometimes a goodness of fit measure will be undefined. In these cases the measure will be reported as NA.

Glance returns the same number of columns regardless of whether the model matrix is rank-deficient or not. If so, entries in columns that no longer have a well-defined value are filled in with an NA of the appropriate type.

# S3 method for class 'lm'
glance(x, ...)

Arguments

x

An lm object created by stats::lm().

...

Additional arguments. Not used. Needed to match generic signature only. Cautionary note: Misspelled arguments will be absorbed in ..., where they will be ignored. If the misspelled argument has a default value, the default value will be used. For example, if you pass conf.lvel = 0.9, all computation will proceed using conf.level = 0.95. Two exceptions here are:

  • tidy() methods will warn when supplied an exponentiate argument if it will be ignored.

  • augment() methods will warn when supplied a newdata argument if it will be ignored.

Value

A tibble::tibble() with exactly one row and columns:

adj.r.squared

Adjusted R squared statistic, which is like the R squared statistic except taking degrees of freedom into account.

AIC

Akaike's Information Criterion for the model.

BIC

Bayesian Information Criterion for the model.

deviance

Deviance of the model.

df.residual

Residual degrees of freedom.

logLik

The log-likelihood of the model. [stats::logLik()] may be a useful reference.

nobs

Number of observations used.

p.value

P-value corresponding to the test statistic.

r.squared

R squared statistic, or the percent of variation explained by the model. Also known as the coefficient of determination.

sigma

Estimated standard error of the residuals.

statistic

Test statistic.

df

The degrees for freedom from the numerator of the overall F-statistic. This is new in broom 0.7.0. Previously, this reported the rank of the design matrix, which is one more than the numerator degrees of freedom of the overall F-statistic.

Examples


library(ggplot2)
library(dplyr)

mod <- lm(mpg ~ wt + qsec, data = mtcars)

tidy(mod)
#> # A tibble: 3 × 5
#>   term        estimate std.error statistic  p.value
#>   <chr>          <dbl>     <dbl>     <dbl>    <dbl>
#> 1 (Intercept)   19.7       5.25       3.76 7.65e- 4
#> 2 wt            -5.05      0.484    -10.4  2.52e-11
#> 3 qsec           0.929     0.265      3.51 1.50e- 3
glance(mod)
#> # A tibble: 1 × 12
#>   r.squared adj.r.squared sigma statistic  p.value    df logLik   AIC   BIC
#>       <dbl>         <dbl> <dbl>     <dbl>    <dbl> <dbl>  <dbl> <dbl> <dbl>
#> 1     0.826         0.814  2.60      69.0 9.39e-12     2  -74.4  157.  163.
#> # ℹ 3 more variables: deviance <dbl>, df.residual <int>, nobs <int>

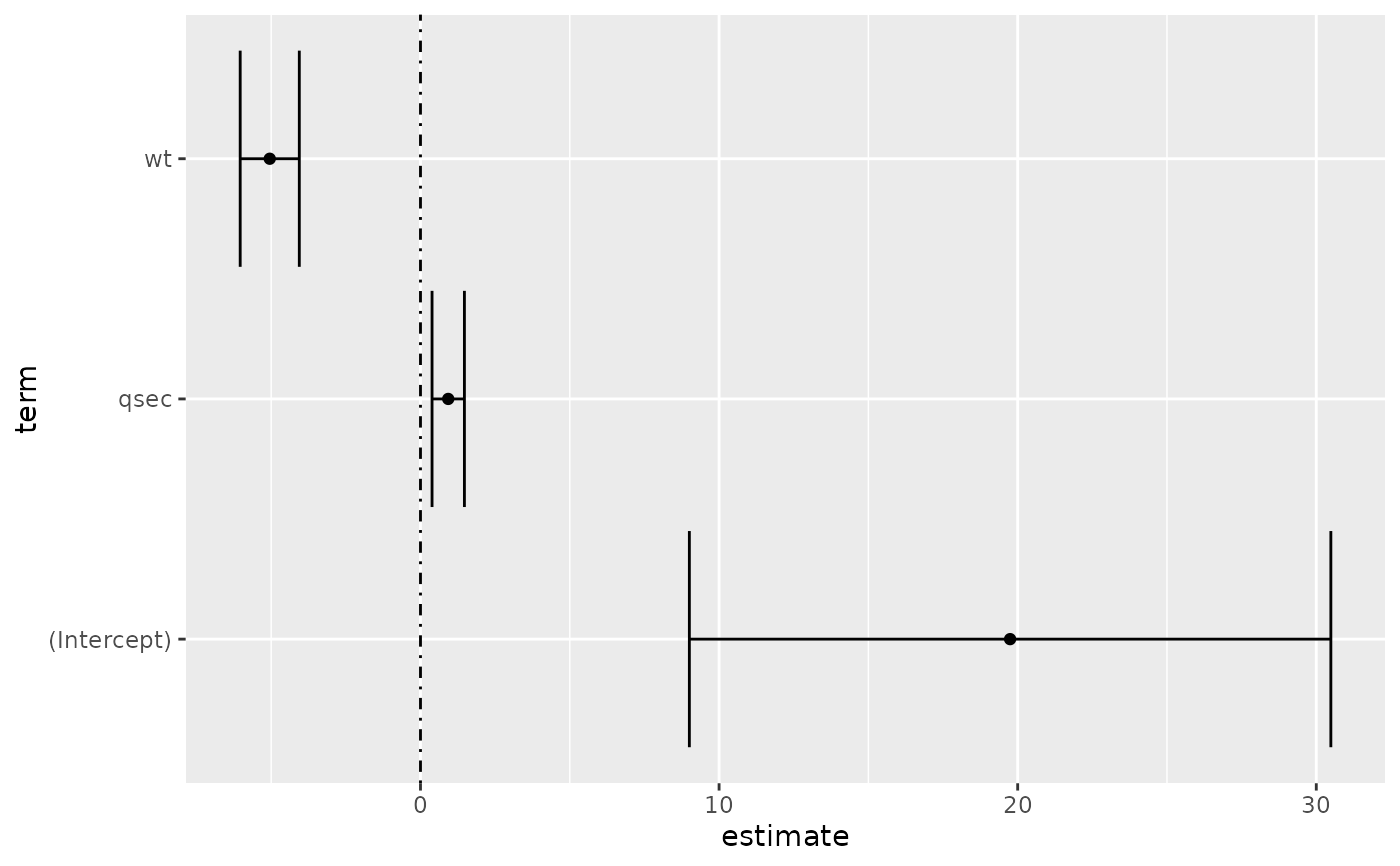
# coefficient plot
d <- tidy(mod, conf.int = TRUE)

ggplot(d, aes(estimate, term, xmin = conf.low, xmax = conf.high, height = 0)) +
  geom_point() +
  geom_vline(xintercept = 0, lty = 4) +
  geom_errorbarh()


# aside: There are tidy() and glance() methods for lm.summary objects too.
# this can be useful when you want to conserve memory by converting large lm
# objects into their leaner summary.lm equivalents.
s <- summary(mod)
tidy(s, conf.int = TRUE)
#> # A tibble: 3 × 7
#>   term        estimate std.error statistic  p.value conf.low conf.high
#>   <chr>          <dbl>     <dbl>     <dbl>    <dbl>    <dbl>     <dbl>
#> 1 (Intercept)   19.7       5.25       3.76 7.65e- 4    9.00      30.5 
#> 2 wt            -5.05      0.484    -10.4  2.52e-11   -6.04      -4.06
#> 3 qsec           0.929     0.265      3.51 1.50e- 3    0.387      1.47
glance(s)
#> # A tibble: 1 × 8
#>   r.squared adj.r.squared sigma statistic  p.value    df df.residual  nobs
#>       <dbl>         <dbl> <dbl>     <dbl>    <dbl> <dbl>       <int> <dbl>
#> 1     0.826         0.814  2.60      69.0 9.39e-12     2          29    32

augment(mod)
#> # A tibble: 32 × 10
#>    .rownames    mpg    wt  qsec .fitted  .resid   .hat .sigma .cooksd .std.resid
#>    <chr>      <dbl> <dbl> <dbl>   <dbl>   <dbl>  <dbl>  <dbl>   <dbl>      <dbl>
#>  1 Mazda RX4   21    2.62  16.5    21.8 -0.815  0.0693   2.64 2.63e-3    -0.325 
#>  2 Mazda RX4…  21    2.88  17.0    21.0 -0.0482 0.0444   2.64 5.59e-6    -0.0190
#>  3 Datsun 710  22.8  2.32  18.6    25.3 -2.53   0.0607   2.60 2.17e-2    -1.00  
#>  4 Hornet 4 …  21.4  3.22  19.4    21.6 -0.181  0.0576   2.64 1.05e-4    -0.0716
#>  5 Hornet Sp…  18.7  3.44  17.0    18.2  0.504  0.0389   2.64 5.29e-4     0.198 
#>  6 Valiant     18.1  3.46  20.2    21.1 -2.97   0.0957   2.58 5.10e-2    -1.20  
#>  7 Duster 360  14.3  3.57  15.8    16.4 -2.14   0.0729   2.61 1.93e-2    -0.857 
#>  8 Merc 240D   24.4  3.19  20      22.2  2.17   0.0791   2.61 2.18e-2     0.872 
#>  9 Merc 230    22.8  3.15  22.9    25.1 -2.32   0.295    2.59 1.59e-1    -1.07  
#> 10 Merc 280    19.2  3.44  18.3    19.4 -0.185  0.0358   2.64 6.55e-5    -0.0728
#> # ℹ 22 more rows
augment(mod, mtcars, interval = "confidence")
#> # A tibble: 32 × 20
#>    .rownames     mpg   cyl  disp    hp  drat    wt  qsec    vs    am  gear  carb
#>    <chr>       <dbl> <dbl> <dbl> <dbl> <dbl> <dbl> <dbl> <dbl> <dbl> <dbl> <dbl>
#>  1 Mazda RX4    21       6  160    110  3.9   2.62  16.5     0     1     4     4
#>  2 Mazda RX4 …  21       6  160    110  3.9   2.88  17.0     0     1     4     4
#>  3 Datsun 710   22.8     4  108     93  3.85  2.32  18.6     1     1     4     1
#>  4 Hornet 4 D…  21.4     6  258    110  3.08  3.22  19.4     1     0     3     1
#>  5 Hornet Spo…  18.7     8  360    175  3.15  3.44  17.0     0     0     3     2
#>  6 Valiant      18.1     6  225    105  2.76  3.46  20.2     1     0     3     1
#>  7 Duster 360   14.3     8  360    245  3.21  3.57  15.8     0     0     3     4
#>  8 Merc 240D    24.4     4  147.    62  3.69  3.19  20       1     0     4     2
#>  9 Merc 230     22.8     4  141.    95  3.92  3.15  22.9     1     0     4     2
#> 10 Merc 280     19.2     6  168.   123  3.92  3.44  18.3     1     0     4     4
#> # ℹ 22 more rows
#> # ℹ 8 more variables: .fitted <dbl>, .lower <dbl>, .upper <dbl>, .resid <dbl>,
#> #   .hat <dbl>, .sigma <dbl>, .cooksd <dbl>, .std.resid <dbl>

# predict on new data
newdata <- mtcars |>
  head(6) |>
  mutate(wt = wt + 1)
augment(mod, newdata = newdata)
#> # A tibble: 6 × 14
#>   .rownames      mpg   cyl  disp    hp  drat    wt  qsec    vs    am  gear  carb
#>   <chr>        <dbl> <dbl> <dbl> <dbl> <dbl> <dbl> <dbl> <dbl> <dbl> <dbl> <dbl>
#> 1 Mazda RX4     21       6   160   110  3.9   3.62  16.5     0     1     4     4
#> 2 Mazda RX4 W…  21       6   160   110  3.9   3.88  17.0     0     1     4     4
#> 3 Datsun 710    22.8     4   108    93  3.85  3.32  18.6     1     1     4     1
#> 4 Hornet 4 Dr…  21.4     6   258   110  3.08  4.22  19.4     1     0     3     1
#> 5 Hornet Spor…  18.7     8   360   175  3.15  4.44  17.0     0     0     3     2
#> 6 Valiant       18.1     6   225   105  2.76  4.46  20.2     1     0     3     1
#> # ℹ 2 more variables: .fitted <dbl>, .resid <dbl>

# ggplot2 example where we also construct 95% prediction interval

# simpler bivariate model since we're plotting in 2D
mod2 <- lm(mpg ~ wt, data = mtcars)

au <- augment(mod2, newdata = newdata, interval = "prediction")

ggplot(au, aes(wt, mpg)) +
  geom_point() +
  geom_line(aes(y = .fitted)) +
  geom_ribbon(aes(ymin = .lower, ymax = .upper), col = NA, alpha = 0.3)


# predict on new data without outcome variable. Output does not include .resid
newdata <- newdata |>
  select(-mpg)
#> Error in select(newdata, -mpg): unused argument (-mpg)

augment(mod, newdata = newdata)
#> # A tibble: 6 × 14
#>   .rownames      mpg   cyl  disp    hp  drat    wt  qsec    vs    am  gear  carb
#>   <chr>        <dbl> <dbl> <dbl> <dbl> <dbl> <dbl> <dbl> <dbl> <dbl> <dbl> <dbl>
#> 1 Mazda RX4     21       6   160   110  3.9   3.62  16.5     0     1     4     4
#> 2 Mazda RX4 W…  21       6   160   110  3.9   3.88  17.0     0     1     4     4
#> 3 Datsun 710    22.8     4   108    93  3.85  3.32  18.6     1     1     4     1
#> 4 Hornet 4 Dr…  21.4     6   258   110  3.08  4.22  19.4     1     0     3     1
#> 5 Hornet Spor…  18.7     8   360   175  3.15  4.44  17.0     0     0     3     2
#> 6 Valiant       18.1     6   225   105  2.76  4.46  20.2     1     0     3     1
#> # ℹ 2 more variables: .fitted <dbl>, .resid <dbl>

au <- augment(mod, data = mtcars)

ggplot(au, aes(.hat, .std.resid)) +
  geom_vline(size = 2, colour = "white", xintercept = 0) +
  geom_hline(size = 2, colour = "white", yintercept = 0) +
  geom_point() +
  geom_smooth(se = FALSE)
#> `geom_smooth()` using method = 'loess' and formula = 'y ~ x'


plot(mod, which = 6)


ggplot(au, aes(.hat, .cooksd)) +
  geom_vline(xintercept = 0, colour = NA) +
  geom_abline(slope = seq(0, 3, by = 0.5), colour = "white") +
  geom_smooth(se = FALSE) +
  geom_point()
#> `geom_smooth()` using method = 'loess' and formula = 'y ~ x'


# column-wise models
a <- matrix(rnorm(20), nrow = 10)
b <- a + rnorm(length(a))
result <- lm(b ~ a)

tidy(result)
#> # A tibble: 6 × 6
#>   response term        estimate std.error statistic p.value
#>   <chr>    <chr>          <dbl>     <dbl>     <dbl>   <dbl>
#> 1 Y1       (Intercept)   -0.673     0.509    -1.32   0.228 
#> 2 Y1       a1             1.64      0.676     2.43   0.0455
#> 3 Y1       a2             0.546     1.56      0.350  0.737 
#> 4 Y2       (Intercept)    0.210     0.239     0.880  0.408 
#> 5 Y2       a1             0.120     0.317     0.377  0.717 
#> 6 Y2       a2             0.652     0.732     0.891  0.403