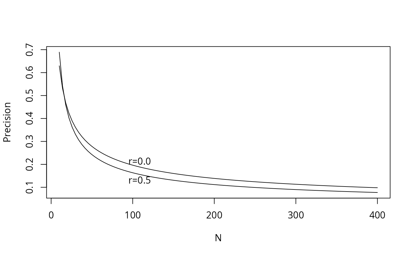
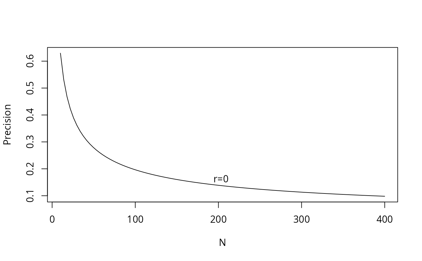
This function plots the precision (margin of error) of the product-moment linear correlation coefficient r vs. sample size, for a given vector of correlation coefficients rho. Precision is defined as the larger of the upper confidence limit minus rho and rho minus the lower confidence limit. labcurve is used to automatically label the curves.

plotCorrPrecision(rho = c(0, 0.5), n = seq(10, 400, length.out = 100),
                  conf.int = 0.95, offset=0.025, ...)

Arguments

rho

single or vector of true correlations. A worst-case precision graph results from rho=0

n

vector of sample sizes to use on the x-axis

conf.int

confidence coefficient; default uses 0.95 confidence limits

offset

see labcurve

...

other arguments to labcurve

Author

Xing Wang and Frank Harrell

See also

Examples

plotCorrPrecision()

plotCorrPrecision(rho=0)