Add vertical error bars to an existing plot or makes a new plot with error bars.

errbar(x, y, yplus, yminus, cap=0.015, main = NULL,
       sub=NULL, xlab=as.character(substitute(x)),
       ylab=if(is.factor(x) || is.character(x)) ""
           else as.character(substitute(y)),
       add=FALSE, lty=1, type='p', ylim=NULL,
       lwd=1, pch=16, errbar.col, Type=rep(1, length(y)), 
       ...)

Arguments

x

vector of numeric x-axis values (for vertical error bars) or a factor or character variable (for horizontal error bars, x representing the group labels)

y

vector of y-axis values.

yplus

vector of y-axis values: the tops of the error bars.

yminus

vector of y-axis values: the bottoms of the error bars.

cap

the width of the little lines at the tops and bottoms of the error bars in units of the width of the plot. Defaults to 0.015.

main

a main title for the plot, passed to plot, see also title.

sub

a sub title for the plot, passed to plot

xlab

optional x-axis labels if add=FALSE.

ylab

optional y-axis labels if add=FALSE. Defaults to blank for horizontal charts.

add

set to TRUE to add bars to an existing plot (available only for vertical error bars)

lty

type of line for error bars

type

type of point. Use type="b" to connect dots.

ylim

y-axis limits. Default is to use range of y, yminus, and yplus. For horizonal charts, ylim is really the x-axis range, excluding differences.

lwd

line width for line segments (not main line)

pch

character to use as the point.

errbar.col

color to use for drawing error bars.

Type

used for horizontal bars only. Is an integer vector with values 1 if corresponding values represent simple estimates, 2 if they represent differences.

...

other parameters passed to all graphics functions.

Details

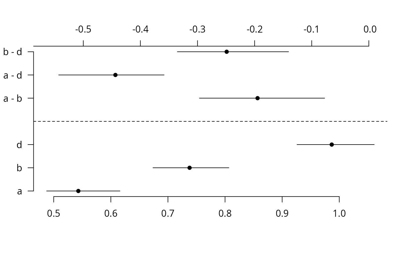
errbar adds vertical error bars to an existing plot or makes a new plot with error bars. It can also make a horizontal error bar plot that shows error bars for group differences as well as bars for groups. For the latter type of plot, the lower x-axis scale corresponds to group estimates and the upper scale corresponds to differences. The spacings of the two scales are identical but the scale for differences has its origin shifted so that zero may be included. If at least one of the confidence intervals includes zero, a vertical dotted reference line at zero is drawn.

Author

Charles Geyer, University of Chicago. Modified by Frank Harrell, Vanderbilt University, to handle missing data, to add the parameters add and lty, and to implement horizontal charts with differences.

Examples

set.seed(1)
x <- 1:10
y <- x + rnorm(10)
delta <- runif(10)
errbar( x, y, y + delta, y - delta )



# Show bootstrap nonparametric CLs for 3 group means and for
# pairwise differences on same graph
group <- sample(c('a','b','d'), 200, TRUE)
y     <- runif(200) + .25*(group=='b') + .5*(group=='d')
cla <- smean.cl.boot(y[group=='a'],B=100,reps=TRUE)  # usually B=1000
a   <- attr(cla,'reps')
clb <- smean.cl.boot(y[group=='b'],B=100,reps=TRUE)
b   <- attr(clb,'reps')
cld <- smean.cl.boot(y[group=='d'],B=100,reps=TRUE)
d   <- attr(cld,'reps')
a.b <- quantile(a-b,c(.025,.975))
a.d <- quantile(a-d,c(.025,.975))
b.d <- quantile(b-d,c(.025,.975))
errbar(c('a','b','d','a - b','a - d','b - d'),
       c(cla[1],clb[1],cld[1],cla[1]-clb[1],cla[1]-cld[1],clb[1]-cld[1]),
       c(cla[3],clb[3],cld[3],a.b[2],a.d[2],b.d[2]),
       c(cla[2],clb[2],cld[2],a.b[1],a.d[1],b.d[1]),
       Type=c(1,1,1,2,2,2), xlab='', ylab='')