This function fits dose-response models in a bootstrap model averaging approach motivated by the bagging procedure (Breiman 1996). Given summary estimates for the outcome at each dose, the function samples summary data from the multivariate normal distribution. For each sample dose-response models are fit to these summary estimates and the best model according to the gAIC is selected.

maFitMod(dose, resp, S, models, nSim = 1000, control, bnds, addArgs = NULL)

# S3 method for class 'maFit'
predict(
  object,
  summaryFct = function(x) quantile(x, probs = c(0.025, 0.25, 0.5, 0.75, 0.975)),
  doseSeq = NULL,
  ...
)

# S3 method for class 'maFit'
plot(
  x,
  plotData = c("means", "meansCI", "none"),
  xlab = "Dose",
  ylab = "Response",
  title = NULL,
  level = 0.95,
  trafo = function(x) x,
  lenDose = 201,
  ...
)

Arguments

dose

Numeric specifying the dose variable.

resp

Numeric specifying the response estimate corresponding to the doses in dose

S

Covariance matrix associated with the dose-response estimate specified via resp

models

dose-response models to fit

nSim

Number of bootstrap simulations

control

Same as the control argument in fitMod().

bnds

Bounds for non-linear parameters. This needs to be a list with list entries corresponding to the selected bounds. The names of the list entries need to correspond to the model names. The defBnds() function provides the default selection.

addArgs

List containing two entries named "scal" and "off" for the "betaMod" and "linlog" model. When addArgs is NULL the following defaults are used list(scal = 1.2*max(doses), off = 0.01*max(doses))

object

Object of class maFit

summaryFct

If equal to NULL predictions are calculated for each sampled parameter value. Otherwise a summary function is applied to the dose-response predictions for each parameter value. The default is to calculate 0.025, 0.25, 0.5, 0.75, 0.975 quantiles of the predictions for each dose.

doseSeq

Where to calculate predictions.

...

Additional parametes (unused)

x

object of class maFit

plotData

Determines how the original data are plotted: Either as means or as means with CI or not at all. The level of the CI is determined by the argument level.

xlab

x-axis label

ylab

y-axis label

title

plot title

level

Level for CI, when plotData is equal to meansCI.

trafo

Plot the fitted models on a transformed scale (e.g. probability scale if models have been fitted on log-odds scale). The default for trafo is the identity function.

lenDose

Number of grid values to use for display.

Value

An object of class maFit, which contains the fitted dose-response models DRMod objects, information on which model was selected in each bootstrap and basic input parameters.

References

Breiman, L. (1996). Bagging predictors. Machine learning, 24, 123-140.

Author

Bjoern Bornkamp

Examples

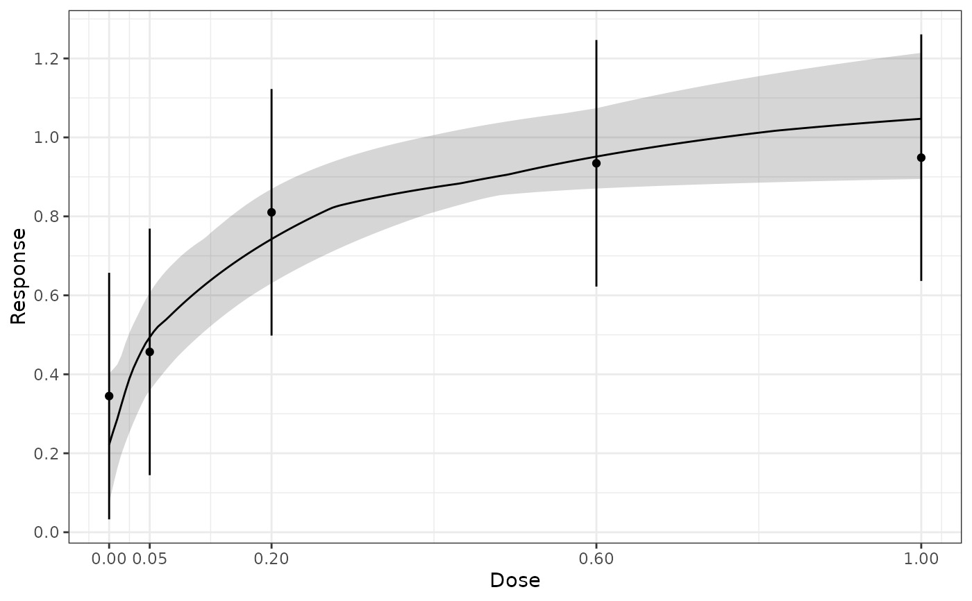
data(biom)
## produce first stage fit (using dose as factor)
anMod <- lm(resp~factor(dose)-1, data=biom)
drFit <- coef(anMod)
S <- vcov(anMod)
dose <- sort(unique(biom$dose))
## fit an emax and sigEmax model (increase nSim for real use)
mFit <- maFitMod(dose, drFit, S, model = c("emax", "sigEmax"), nSim = 10)
#> Message: Need bounds in "bnds" for nonlinear models, using default bounds from "defBnds".
mFit
#> Bootstrap model averaging fits
#> 
#> Specified summary data:
#> doses: 0, 0.05, 0.2, 0.6, 1
#> mean: 0.345, 0.457, 0.81, 0.934, 0.949
#> Covariance Matrix:
#>          0  0.05   0.2   0.6     1
#> 0    0.025 0.000 0.000 0.000 0.000
#> 0.05 0.000 0.025 0.000 0.000 0.000
#> 0.2  0.000 0.000 0.025 0.000 0.000
#> 0.6  0.000 0.000 0.000 0.025 0.000
#> 1    0.000 0.000 0.000 0.000 0.025
#> 
#> Models fitted: emax, sigEmax
#> 
#> Models selected by gAIC on bootstrap samples (nSim = 10)
#> emax 
#>   10 
plot(mFit, plotData = "meansCI")

ED(mFit, direction = "increasing", p = 0.9)
#> [1] 0.638